BCSOZOH
Species information
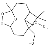
- Smiles: OCC1(O)CCC2OOC(C)(CCC3C1CC3(C)C)O2
- InChI: InChI=1S/C15H26O5/c1-13(2)8-11-10(13)4-6-14(3)18-12(19-20-14)5-7-15(11,17)9-16/h10-12,16-17H,4-9H2,1-3H3
- Mass: 286.3639
- Synonyms:
- External links: Google, ChemSpider, PubChem, NIST WebBook, IUPAC, ChEBI
BCSOZOH
BCKSOZ
HCHO
BCSOZO2