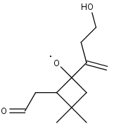
C127O2
Species information
- Smiles: OCCC(=C)C1(O[O])CC(C)(C)C1CC=O
- InChI: InChI=1S/C12H19O4/c1-9(4-6-13)12(16-15)8-11(2,3)10(12)5-7-14/h7,10,13H,1,4-6,8H2,2-3H3
- Mass: 227.2769
- Synonyms:
- External links: Google, ChemSpider, PubChem, NIST WebBook, IUPAC, ChEBI
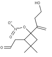
Reactions
C127O2
+
NO
C127O2
+
NO
C127O2
+
NO3
C127O2
+
HO2
C127O2
C127O2
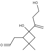
Precursors
C127O2
C127O2
C127O2
C127O
C127NO3
C127OOH
C127OH
C126O
C126CO