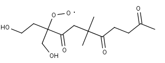
C145O
Species information
- Smiles: OCCC([O])(CO)C(=O)CC(C)(C)C(=O)CCC(=O)C
- InChI: InChI=1S/C14H23O6/c1-10(17)4-5-11(18)13(2,3)8-12(19)14(20,9-16)6-7-15/h15-16H,4-9H2,1-3H3
- Mass: 287.3288
- Synonyms:
- External links: Google, ChemSpider, PubChem, NIST WebBook, IUPAC, ChEBI
Reactions
Precursors
C145O
+
NO2
C145O
+
NO2
C145O
C145O
+
OH
C145O
C928CO3
HO14CO2C4
C145O2
C145OOH
C145OH