C88CO3
Species information
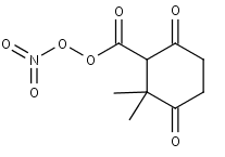
- Smiles: [O]OC(=O)C1C(=O)CCC(=O)C1(C)C
- InChI: InChI=1S/C9H11O5/c1-9(2)6(11)4-3-5(10)7(9)8(12)14-13/h7H,3-4H2,1-2H3
- Mass: 199.1806
- Synonyms:
- External links: Google, ChemSpider, PubChem, NIST WebBook, IUPAC, ChEBI
Reactions
C88CO3
+
NO
C88CO3
+
NO3
C88CO3
+
NO2
C88CO3
+
HO2
C88CO3
+
HO2
C88CO3
C88CO3
C88CO3
+
HO2
Precursors
C88CO3
C88CO3
+
HNO3
C88CO3
+
NO2
C88CO3
C88O2
C88PAN
C88CO3H
C88CO2H
C88CHO