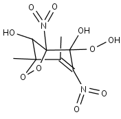
DNOXYOLO
Species information
- Smiles: O=N(=O)C1=C(C)C2(C)OOC(N(=O)=O)(C2O)C1([O])O
- InChI: InChI=1S/C8H9N2O9/c1-3-4(9(14)15)8(12,13)7(10(16)17)5(11)6(3,2)18-19-7/h5,11-12H,1-2H3
- Mass: 277.1651
- Synonyms:
- External links: Google, ChemSpider, PubChem, NIST WebBook, IUPAC, ChEBI
Reactions
Precursors
DNOXYOLO
+
NO2
DNOXYOLO
+
NO2
DNOXYOLO
DNOXYOLO
+
OH
NC4MDCO2H
CH3COCO2H
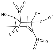
DNOXYOLO2
DNOXYOLOOH