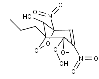
DNPBNZLO
Species information
- Smiles: CCCC12OOC(C=C(N(=O)=O)C2([O])O)(N(=O)=O)C1O
- InChI: InChI=1S/C9H11N2O9/c1-2-3-7-6(12)8(11(17)18,20-19-7)4-5(10(15)16)9(7,13)14/h4,6,12-13H,2-3H2,1H3
- Mass: 291.1916
- Synonyms:
- External links: Google, ChemSpider, PubChem, NIST WebBook, IUPAC, ChEBI
Reactions
Precursors
DNPBNZLO
+
NO2
DNPBNZLO
+
NO2
DNPBNZLO
DNPBNZLO
+
OH
NC4PDCO2H
HCOCO2H
DNPBNZLO2
DNPBNZLOOH