DNT123LO
Species information
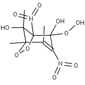
- Smiles: O=N(=O)C1=C(C)C2(C)OOC(N(=O)=O)(C1([O])O)C2(C)O
- InChI: InChI=1S/C9H11N2O9/c1-4-5(10(15)16)8(13,14)9(11(17)18)7(3,12)6(4,2)19-20-9/h12-13H,1-3H3
- Mass: 291.1916
- Synonyms:
- External links: Google, ChemSpider, PubChem, NIST WebBook, IUPAC, ChEBI
Reactions
Precursors
DNT123LO
+
NO2
DNT123LO
+
NO2
DNT123LO
DNT123LO
+
OH
NC5MDCO2H
CH3COCO2H
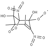
DNT123LO2
DNT123LOOH