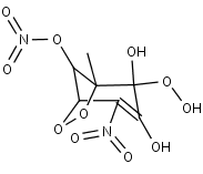
MNNCATECO
Species information
- Smiles: O=N(=O)OC1C2OOC1(C)C([O])(O)C(=C2N(=O)=O)O
- InChI: InChI=1S/C7H7N2O10/c1-6-5(17-9(15)16)3(18-19-6)2(8(13)14)4(10)7(6,11)12/h3,5,10-11H,1H3
- Mass: 279.1379
- Synonyms:
- External links: Google, ChemSpider, PubChem, NIST WebBook, IUPAC, ChEBI
Reactions
Precursors
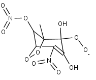
MNNCATECO
+
NO2
MNNCATECO
+
NO2
MNNCATECO
MNNCATECO
+
OH
NC4MDCO2H
HCOCO2H
MNNCATECO2
MNNCATCOOH