MTNNCATCO
Species information
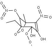
- Smiles: CCC12OOC(C)(C(=C(O)C2([O])O)N(=O)=O)C1ON(=O)=O
- InChI: InChI=1S/C9H11N2O10/c1-3-8-6(19-11(17)18)7(2,20-21-8)4(10(15)16)5(12)9(8,13)14/h6,12-13H,3H2,1-2H3
- Mass: 307.191
- Synonyms:
- External links: Google, ChemSpider, PubChem, NIST WebBook, IUPAC, ChEBI
Reactions
Precursors
MTNNCATCO
+
NO2
MTNNCATCO
+
NO2
MTNNCATCO
MTNNCATCO
+
OH
NC4MDCO2H
ECOCO2H
MTNNCATCO2
MTNNCATOOH