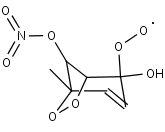
NCRESOH
Species information
- Smiles: O=N(=O)OC1C2OOC1(C)C=CC2(O)O
- InChI: InChI=1S/C7H9NO7/c1-6-2-3-7(9,10)5(14-15-6)4(6)13-8(11)12/h2-5,9-10H,1H3
- Mass: 219.1489
- Synonyms:
- External links: Google, ChemSpider, PubChem, NIST WebBook, IUPAC, ChEBI
Reactions
NCRESOH
+
OH
NCRESOH
NCRESO
CRESO
NCRESO2