NDMMALYO2
Species information
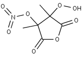
- Smiles: [O]OC1(C)C(=O)OC(=O)C1(C)ON(=O)=O
- InChI: InChI=1S/C6H6NO8/c1-5(14-7(10)11)3(8)13-4(9)6(5,2)15-12/h1-2H3
- Mass: 220.1137
- Synonyms:
- External links: Google, ChemSpider, PubChem, NIST WebBook, IUPAC, ChEBI
Reactions
NDMMALYO2
+
NO
NDMMALYO2
+
NO3
NDMMALYO2
+
HO2
NDMMALYO2
Precursors
NDMMALYO2
NDMMALYO2
NDMMALYO
NDMMALYOOH
DMMALANHY