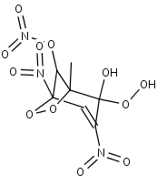
NDNCRESO2
Species information
- Smiles: [O]OC1(O)C(=CC2(OOC1(C)C2ON(=O)=O)N(=O)=O)N(=O)=O
- InChI: InChI=1S/C7H6N3O12/c1-5-4(19-10(16)17)6(9(14)15,22-21-5)2-3(8(12)13)7(5,11)20-18/h2,4,11H,1H3
- Mass: 324.1354
- Synonyms:
- External links: Google, ChemSpider, PubChem, NIST WebBook, IUPAC, ChEBI
Reactions
NDNCRESO2
+
NO
NDNCRESO2
+
NO3
NDNCRESO2
+
HO2
NDNCRESO2
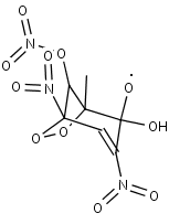
Precursors
NDNCRESO2
NDNCRESO2
NDNCRESO
NDNCRESOOH
DNCRES