NDNMETOLO
Species information
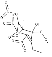
- Smiles: CCC1=C(N(=O)=O)C2(OOC(C)(C2ON(=O)=O)C1([O])O)N(=O)=O
- InChI: InChI=1S/C9H10N3O11/c1-3-4-5(10(15)16)8(11(17)18)6(21-12(19)20)7(2,22-23-8)9(4,13)14/h6,13H,3H2,1-2H3
- Mass: 336.1892
- Synonyms:
- External links: Google, ChemSpider, PubChem, NIST WebBook, IUPAC, ChEBI
Reactions
Precursors
NDNMETOLO
+
NO2
NDNMETOLO
+
NO2
NDNMETOLO
NDNMETOLO
+
OH
NC4MDCO2H
ECOCO2H
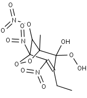
NDNMETOLO2
NDNMETLOOH