NDNOETOLO
Species information
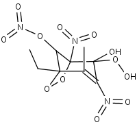
- Smiles: CCC12OOC(N(=O)=O)(C2ON(=O)=O)C([O])(O)C(=C1C)N(=O)=O
- InChI: InChI=1S/C9H10N3O11/c1-3-7-4(2)5(10(15)16)9(13,14)8(11(17)18,23-22-7)6(7)21-12(19)20/h6,13H,3H2,1-2H3
- Mass: 336.1892
- Synonyms:
- External links: Google, ChemSpider, PubChem, NIST WebBook, IUPAC, ChEBI
Reactions
Precursors
NDNOETOLO
+
NO2
NDNOETOLO
+
NO2
NDNOETOLO
NDNOETOLO
+
OH
NC4MDCO2H
ECOCO2H
NDNOETOLO2
NDNOETLOOH