NDNOXYOLO
Species information
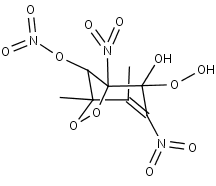
- Smiles: O=N(=O)OC1C2(C)OOC1(N(=O)=O)C([O])(O)C(=C2C)N(=O)=O
- InChI: InChI=1S/C8H8N3O11/c1-3-4(9(14)15)8(12,13)7(10(16)17)5(20-11(18)19)6(3,2)21-22-7/h5,12H,1-2H3
- Mass: 322.1626
- Synonyms:
- External links: Google, ChemSpider, PubChem, NIST WebBook, IUPAC, ChEBI
Reactions
Precursors
NDNOXYOLO
+
NO2
NDNOXYOLO
+
NO2
NDNOXYOLO
NDNOXYOLO
+
OH
NC4MDCO2H
CH3COCO2H
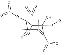
NDNOXYOLO2
NDNOXYLOOH