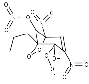
NDNPBNZLO
Species information
- Smiles: CCCC12OOC(C=C(N(=O)=O)C2([O])O)(N(=O)=O)C1ON(=O)=O
- InChI: InChI=1S/C9H10N3O11/c1-2-3-7-6(21-12(19)20)8(11(17)18,23-22-7)4-5(10(15)16)9(7,13)14/h4,6,13H,2-3H2,1H3
- Mass: 336.1892
- Synonyms:
- External links: Google, ChemSpider, PubChem, NIST WebBook, IUPAC, ChEBI
Reactions
Precursors
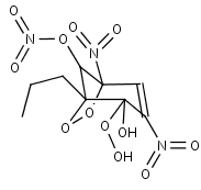
NDNPBNZLO
+
NO2
NDNPBNZLO
+
NO2
NDNPBNZLO
NDNPBNZLO
+
OH
NC4PDCO2H
NDNPBNZLO2
NDNPBZLOOH