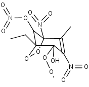
NDNPETOLO
Species information
- Smiles: CCC12OOC(N(=O)=O)(C(=C(N(=O)=O)C2([O])O)C)C1ON(=O)=O
- InChI: InChI=1S/C9H10N3O11/c1-3-7-6(21-12(19)20)8(11(17)18,23-22-7)4(2)5(10(15)16)9(7,13)14/h6,13H,3H2,1-2H3
- Mass: 336.1892
- Synonyms:
- External links: Google, ChemSpider, PubChem, NIST WebBook, IUPAC, ChEBI
Reactions
Precursors
NDNPETOLO
+
NO2
NDNPETOLO
+
NO2
NDNPETOLO
NDNPETOLO
+
OH
NC4MDCO2H
ECOCO2H
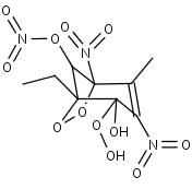
NDNPETOLO2
NDNPETLOOH