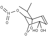
NIPBNZOLO
Species information
- Smiles: O=N(=O)OC1C2OOC1(C=CC2(O)[O])C(C)C
- InChI: InChI=1S/C9H12NO7/c1-5(2)8-3-4-9(11,12)7(16-17-8)6(8)15-10(13)14/h3-7,11H,1-2H3
- Mass: 246.1941
- Synonyms:
- External links: Google, ChemSpider, PubChem, NIST WebBook, IUPAC, ChEBI
Reactions
Precursors
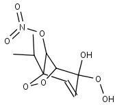
NIPBNZOLO
+
NO2
NIPBNZOLO
+
NO2
NIPBNZOLO
NIPBNZOLO
+
OH
NIPBNZOLO
IC7DCCO2H
GLYOX
NIPBNZOLO2
NIPBZOLOOH
NIPBNZOLOH