NMXYOLO
Species information
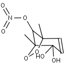
- Smiles: O=N(=O)OC1C2(C)C=CC([O])(O)C1(C)OO2
- InChI: InChI=1S/C8H10NO7/c1-6-3-4-8(10,11)7(2,16-15-6)5(6)14-9(12)13/h3-5,10H,1-2H3
- Mass: 232.1675
- Synonyms:
- External links: Google, ChemSpider, PubChem, NIST WebBook, IUPAC, ChEBI
Reactions
Precursors
NMXYOLO
+
NO2
NMXYOLO
+
NO2
NMXYOLO
NMXYOLO
+
OH
NMXYOLO
C5CO14OH
MGLYOX
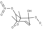
NMXYOLO2
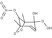
NMXYOLOOH
NMXYOLOH