NOETOLO2
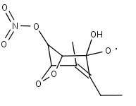
Species information
- Smiles: CCC1=C(C)C2OOC(C2ON(=O)=O)C1(O)O[O]
- InChI: InChI=1S/C9H12NO8/c1-3-5-4(2)6-7(15-10(12)13)8(17-16-6)9(5,11)18-14/h6-8,11H,3H2,1-2H3
- Mass: 262.1935
- Synonyms:
- External links: Google, ChemSpider, PubChem, NIST WebBook, IUPAC, ChEBI
Reactions
NOETOLO2
+
NO
NOETOLO2
+
NO3
NOETOLO2
+
HO2
NOETOLO2
NOETOLO2
Precursors
NOETOLO2
NOETOLO2
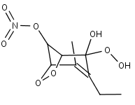
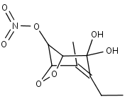
NOETOLO
NOETOLOOH
NOETOLOH
OETOH