NPBNZOLO2
Species information
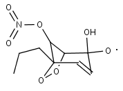
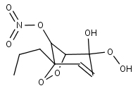
- Smiles: CCCC12OOC(C2ON(=O)=O)C(O)(O[O])C=C1
- InChI: InChI=1S/C9H12NO8/c1-2-3-8-4-5-9(11,17-14)7(16-18-8)6(8)15-10(12)13/h4-7,11H,2-3H2,1H3
- Mass: 262.1935
- Synonyms:
- External links: Google, ChemSpider, PubChem, NIST WebBook, IUPAC, ChEBI
Reactions
NPBNZOLO2
+
NO
NPBNZOLO2
+
NO3
NPBNZOLO2
+
HO2
NPBNZOLO2
NPBNZOLO2
Precursors
NPBNZOLO2
NPBNZOLO2
NPBNZOLO
NPBNZOLOOH
NPBNZOLOH
PBENZOL