NTM123OLO
Species information
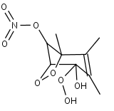
- Smiles: O=N(=O)OC1C2OOC1(C)C(=C(C)C2([O])O)C
- InChI: InChI=1S/C9H12NO7/c1-4-5(2)9(11,12)7-6(15-10(13)14)8(4,3)17-16-7/h6-7,11H,1-3H3
- Mass: 246.1941
- Synonyms:
- External links: Google, ChemSpider, PubChem, NIST WebBook, IUPAC, ChEBI
Reactions
Precursors
NTM123OLO
+
NO2
NTM123OLO
+
NO2
NTM123OLO
NTM123OLO
+
OH
NTM123OLO
C7ADCCO2H
GLYOX
NTM123OLO2
NTM123LOOH
NTM123OLOH