OXNNCATCO
Species information
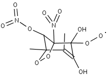
- Smiles: O=N(=O)OC1C2(C)OOC1(N(=O)=O)C([O])(O)C(=C2C)O
- InChI: InChI=1S/C8H9N2O10/c1-3-4(11)8(12,13)7(9(14)15)5(18-10(16)17)6(3,2)19-20-7/h5,11-12H,1-2H3
- Mass: 293.1645
- Synonyms:
- External links: Google, ChemSpider, PubChem, NIST WebBook, IUPAC, ChEBI
Reactions
Precursors
OXNNCATCO
+
NO2
OXNNCATCO
+
NO2
OXNNCATCO
OXNNCATCO
+
OH
NC4MDCO2H
CH3COCO2H
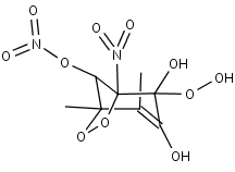
OXNNCATCO2
OXNNCATOOH