PTNNCATCO
Species information
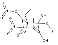
- Smiles: CCC12OOC(N(=O)=O)(C(=C(O)C2([O])O)C)C1ON(=O)=O
- InChI: InChI=1S/C9H11N2O10/c1-3-7-6(19-11(17)18)8(10(15)16,21-20-7)4(2)5(12)9(7,13)14/h6,12-13H,3H2,1-2H3
- Mass: 307.191
- Synonyms:
- External links: Google, ChemSpider, PubChem, NIST WebBook, IUPAC, ChEBI
Reactions
Precursors
PTNNCATCO
+
NO2
PTNNCATCO
+
NO2
PTNNCATCO
PTNNCATCO
+
OH
NC4MDCO2H
ECOCO2H
PTNNCATCO2
PTNNCATOOH