PXNNCATCO
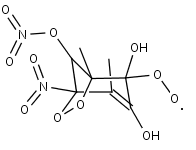
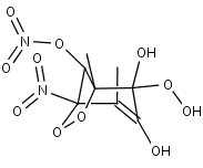
Species information
- Smiles: O=N(=O)OC1C2(OOC1(C)C([O])(O)C(=C2C)O)N(=O)=O
- InChI: InChI=1S/C8H9N2O10/c1-3-4(11)8(12,13)6(2)5(18-10(16)17)7(3,9(14)15)20-19-6/h5,11-12H,1-2H3
- Mass: 293.1645
- Synonyms:
- External links: Google, ChemSpider, PubChem, NIST WebBook, IUPAC, ChEBI
Reactions
Precursors
PXNNCATCO
+
NO2
PXNNCATCO
+
NO2
PXNNCATCO
PXNNCATCO
+
OH
NC4MDCO2H
CH3COCO2H
PXNNCATCO2
PXNNCATOOH