T124NCATO
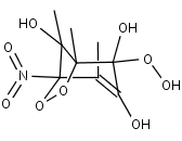
Species information
- Smiles: OC1=C(C)C2(OOC(C)(C1([O])O)C2(C)O)N(=O)=O
- InChI: InChI=1S/C9H12NO8/c1-4-5(11)9(13,14)7(3)6(2,12)8(4,10(15)16)18-17-7/h11-13H,1-3H3
- Mass: 262.1935
- Synonyms:
- External links: Google, ChemSpider, PubChem, NIST WebBook, IUPAC, ChEBI
Reactions
Precursors
T124NCATO
+
NO2
T124NCATO
+
NO2
T124NCATO
T124NCATO
+
OH
NC5MDCO2H
CH3COCO2H
T124NCATO2
T124NCTOOH