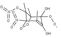
T124NNCTO
Species information
- Smiles: O=N(=O)OC1(C)C2(OOC1(C)C([O])(O)C(=C2C)O)N(=O)=O
- InChI: InChI=1S/C9H11N2O10/c1-4-5(12)9(13,14)7(3)6(2,19-11(17)18)8(4,10(15)16)21-20-7/h12-13H,1-3H3
- Mass: 307.191
- Synonyms:
- External links: Google, ChemSpider, PubChem, NIST WebBook, IUPAC, ChEBI
Reactions
Precursors
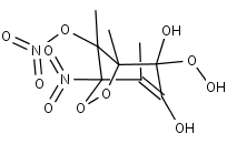
T124NNCTO
+
NO2
T124NNCTO
+
NO2
T124NNCTO
T124NNCTO
+
OH
NC5MDCO2H
CH3COCO2H
T124NNCTO2
T124NNCOOH